MOD関数で余りを求める 記事カテゴリ Excel関数 Windows/Office 記事タグ Excel関数 数学/三角関数 指定した数値を除数で割ったときの余りを求める、MOD関数の使い方を解説します。 商と余りパラメータ 値1 変数または定数 値2 変数または定数 例 Mod 意味 英語 3 から再生できます。・該当件数 1951年にモッズは衣服や音楽に興味を示し、彼らが好んで聴いた音楽はアメリカのレアな黒人音楽、モッズは深夜営業のクラブに集まり、ダンスに興じたりその衣服を見せ合ったりした。
数a Modの問題です 問題文は 13 100を9で割った余 Yahoo 知恵袋
余り 英語 mod
余り 英語 mod-Arduino 日本語リファレンス Arduino 日本語リファレンス 整数の割り算を行ったときの余りを返します。 構文 答 = 値1 % 値2; Modは余りという意味ではありません。 x≡1 (mod 3)は「xと1は3を法として合同」を意味するので、modは「法」を意味します。




商 剰余 英語
割り算の余りを求める Mod VBNETで「割り算の余り」を求めるには Mod 演算子を使います。 Sub Main() ConsoleWriteLine("10 Mod 3 = " & 10 Mod 3) End Sub 10 Mod 3 = 1Modulo ★ プログラミング で はしばし ば 除算 の余り を求める 関数 ・ 演算子 名 として 使われる ・ 100 ≡2 (mod 7) 《 100 と 2 は 7 を 法として 合同 である, すなわち 7 で 割った 余り が 等しい 》 7を3で割った余りと、10を3で割った余りは等しいですね。これは合同式で、 7≡10 (mod 3) と表せるのです。 また、「aをnで割った余り」は、もう一度nで割っても余りの値は変わりませんね。 7を3で割った余りである1を、もう一度3で割った余りは1で変わりませ
次の例では、38 を 5 で割ります。 この結果は、答えの整数部分である 7 となります。また、剰余演算子を使用して余り 3 を返す方法も示しています。 SELECT 38 / 5 AS Integer, 38 % 5 AS Remainder;MOD関数を使いこなしたい方は読み進めてみて下さいね 割られる数がマイナスになっている場合の例として、「 -8 の余りをMOD関数で求めてみます。 余りは「1」と求められました。この時、Excelでは下のように計算がされています。 ここで注意が必要なのはモッド(mod)はプログラミングで重要な役割を果たしています。 モッド(mod)とは数学の概念であり、次のように定義します。 モッドはモジュロ(moduro)ということもあります。 整数a、bの差abが整数nの倍数のとき、すなわち ab=kn (kは整数)のとき、a
通常の場合、a と n はともに整数で処理されるが、多くのコンピュータシステムでは他の数値型でも処理が可能である。 整数 n の剰余の取りうる範囲は、0から n 1 までである。 「n mod 1」 の場合常に0となる。 「n mod 0」 の場合は未定義であり、プログラミング言語によっては「0除算」エラーA % B の値は A / B の余り 3 加算演算子 減算演算子 4 >> >> 論理ビットシフト演算子 バージョン 454 以降で利用可 5 and & ビット毎論理積演算子 "&" はバージョン 453 以降で利用可 6 xor ^ ビット毎商1ワード 余り1ワード に格納されます。 最大値 32,767 が放り込まれた場合、 このようになりますから、答えは 商と余り 1ワード ずつで良いのですね。 0 で割るとエラー になりますから、注意が必要でした。 計算をしてみよう



3




Pon 購入悩み中 元々 メッセージを真面目に読まない人間なので 英語でもあまり問題ないのですけど やっぱり日本語化がほしいww
HOME > ノウハウ > 割り算の余りを出すMod 割り算の余りを出すModの便利な使い方 Mod とは、割り算での余りの数を計算するための演算子と呼ばれる( や といった記号と同類の)もので、 5 ÷ 3 の余りは 2 です。 という計算結果の答えを出してくれる、と 割り算の余りは英語で remainder と言います。 例えば 「4余り2」 は 4 with a remainder of 2 になります。 「18÷4=4余り2」は英語で Eighteen divided by four equals four with a remainder of two になります。 Equals の代わりに is を使うことも出来ます。「」加算演算子 例) ab aにbを足す 「」:減算演算子 例) ab aからbを引く 「*」:乗算演算子 例) a*b aとbをかける 「/」:除算演算子 例) a/b aをbで割る 「%」:剰余算演算子 例) a%b aをBで割った余り 剰余算演算子は余り見かけないと思います。 16%7 この結果はどうなるでしょうか?




Pythonのdivmodで割り算の商と余りを同時に取得 Note Nkmk Me



合同式の証明や問題の解き方を解説 大学受験で使いこなそう Studyplus スタディプラス
B = mod(a,m) は a を m で除算した後の剰余を返します。a は被除数、m は除数です。 この関数はモジュロ演算と呼ばれ、b = a m*floor(a/m) のように表すことができます。 関数 mod は慣例に従うため、mod(a,0) は a を返します。 合同式(mod)を使うメリット 表記簡略化による本質的な嬉しさ 「 12 12 12 と 7 7 7 を 5 5 5 で割った余りは等しい」と書くよりも 「 12 ≡ 7 (m o d 5) 12\equiv 7\pmod{5} 12 ≡ 7 (mod 5) 」と書く方が楽です。 ほとんど差がないように感じますが,記述式で複雑な問題になると上記のような文言を大量に書く必要余り(あまり)とは。意味や解説、類語。名1 使ったり処理したりしたあとになお残ったもの。残り。余剰。「余りの布切れ」「シチューの余りを冷凍する」2 割り算で割り切れずに残った数。3 (感情などを表す連体修飾語を上に付けて副詞的に用いる)程度がはなはだしくて引き起こされた




Mod関数で割り算の余り 剰余 を求めてみた Excel 関数 Haku1569 Excel でらくらく データ分析




合同式の意味や Mod の性質 実際の使い方を分かりやすく解説
Java では算術演算子を使った演算を行うとき、次のルールに従って型変化を行った上で演算を行います。 (1) どちらかの値が double 型の場合は他の値を double 型に変換する (2) どちらかの値が float 型の場合は他の値を float 型に変換する (3) どちらかの値が long a ≡ 24 (mod 7) 24については、7で割って余りを求めることができるので、余りを計算します。 24 = 7 × 3 3 なので、24を7で割ったときの商が3で、余りが3です。7を法としたときの合同式の定義から、次のようになります。 24 ≡ 3 (mod 7)Operators 紹介 余り 英語 mod プログラミングにおけるモジュラス(%)の実用的な用途は何ですか?




英語以外の言語のデータベースを作る Esp Esm Translator V3 03 おま環スカイリム




二の舞 に なる まるで二の舞だねって英語でなんて言うの Www2 Commvault Com
割り切れない場合、日本語では、「余り」という言葉を使うが、英語では「with a remainder of」という表現を使って、下記の例のように表す。 ・Ten divided by three equals three with a remainder of one (10÷3=3余り1、10割る3は3余り1。) 負の値の表現 うめじ英語 塾では無料 きっきん の課題である「火曜日から水曜日を引くと1」を解決するために、1を7で割った余りを MOD という関数を使って求めてみました。セルに「=mod(1,7)」と入力すると「1を7で割った余り」という意味で「6」と表示されます。この記事はNo Man's Sky に関連するMODやツールに関する記事です。 1 概要 2 MOD系の用語 3 MODの導入方法 4 MOD情報サイト 5




私がskyrim Seで導入しているmod Skyrim日記 構築編2 Yuria Mint S Cafe




数日戻って Kazu Nichi Modotsu Te とは 意味 英語の例文
英語の略か何かでしょうか? 13^2≡2 mod 19である、よって13^7≡104≡10 mod 19 よって余りは10 と解かれています。 13^18≡1 mod 19はオイラーの定理と分かるのですが、 5^6≡1 mod 18や13^2≡2 mod 19はどこから分かるのでしょうか。Mod計算 競プロでよくある「 で割った余り」を計算に使います。 引き算、累乗、割り算(素数で割るとき限定)、コンビネーション(素数で割るとき限定)を用意してます。大学の演習でmodの計算時に大変助かりました。 9 1647 歳未満 / 高校・専門・大学生・大学院生 / 非常に役に立った / 使用目的




合同式 Mod を使って余りの問題を解く 性質と使い方 高校数学a 整数 Youtube




初等整数論4 合同式で2 100 2乗100 を7で割ったときの余りを求めます 数学 整数論 Youtube
余り balance ends leftover remainder remainder《数学》(除算や減算の) surplus unused portion アルクがお届けするオンライン英和・和英辞書検索サービス。 語学学習のアルクのサイトがお届けする進化するオンライン英和・和英辞書『英辞郎 on the WEB』。除算後の剰余の概念は一意に定義されてはおらず、2 つの関数 mod と rem はそれぞれ異なる値を計算します。 関数 mod は、ゼロまたは除数と同じ符号の結果を生成します。 関数 rem は、ゼロまたは被除数と同じ符号の結果を生成します。 その他の違いとして除数がゼロの場合の規則があります。1 〔余った物,残り〕the rest, the remnants;〔剰余〕the remainder




Excel 関数 Mod 関数で割り算の 余り を算出する方法 プログラミングで遊ブログ




数a 合同式modとは Youtube
概要 浮動小数点数の剰余を求める。 整数に対する剰余は%演算子で求められるが、浮動小数点数に対しては本関数を使用する必要がある。 戻り値 x / yの余りを返す。 この関数は、ある整数値をnとして、x nyを戻り値として返す。; 剰余演算子(%)は,aをbで除算した時の余りrを取得します. また,a,b,rは以下の条件を満たします. ここで, は,qは整数という意味です. C言語では,rの符号はaの符号と同じになることに注意して下さい. ※他のプログラミング言語では異なる



Excel割り算を行った余りを求める Mod関数 ビジネスでよく使うエクセル関数100選




数学 Modってなによ 実は便利な合同式を解説 合同方程式も 大学生の勉強部屋




Gta5 Pc Gtaonlineで外国人と強盗する時の英語集 後編 おっさんゲーマーどっとねっと



Inside Futureexpress Game Sigerousmod2 2用アドオン Enot Edition の日本語 英語化ファイル




Grimdawnにmodをインストールする トラブル中 正直メンドクサイ



6 3 186 3 2英語でそれぞれどういいますか Yahoo 知恵袋




Tes V Skyrim お勧めしたい Mod まとめ のめうブログ




所感 Mod Stalker Complete 09 英語は英語で洋ゲー堪能する願望



1



実力チェック付 独学で英語が伸びる人の 条件




高校数学の整数の性質について合同式の計算で大きな指数の余りを求める タロウ岩井の数学と英語 Note




Mod関数の使い方 同じ数字を繰り返す連番




Mod関数の使い方 同じ数字を繰り返す連番




6講 合同式 1節 約数と倍数 問題集 3章 整数の性質



Steam Workshop Japanese Language Mod For 1 24 1 0




高校数学の整数の性質で余りの周期性を合同式で学び直し 大学受験対策にも タロウ岩井の数学と英語 Note



Mod関数で割り算の余り 剰余 を求めてみた Excel 関数 Haku1569 Excel でらくらく データ分析




Excel 03 除算の余り部分を求めたい




数a 合同式modと割り算の余り Youtube




英語の語源 初心者が最初に覚えるべきの語根 接頭語 接尾語




Minecraft 時代の発展を楽しめるmodパック Sevtech Ages Modパック紹介 Minbのブログ部屋




整数の合同 Wikipedia



Steam Workshop 日本語版に英語を併記するmod




合同式 Mod を使って余りの問題を解く 性質と使い方 高校数学a 整数 Youtube




商 剰余 英語




商 剰余 英語




Mod Item Filter Grim Dawn 日本語wiki Wiki




Excelのmod関数の使い方 割り算の余りを求める Office Hack




2014年 東大数学 文系第4問 理系第5問の解説 整数 漸化式 鳩ノ巣原理 オンライン受講 東大に 完全 特化 東大合格 敬天塾



Mod関数で割り算の余り 剰余 を求めてみた Excel 関数 Haku1569 Excel でらくらく データ分析




余り Mod ことはじめ 中高生向 中学生 数学のノート Clear




合同方程式の解法と法modについての注意点を整数の性質に基づいて説明 タロウ岩井の数学と英語 Note



Steam Workshop Japanese Language Mod For 1 24 1 0




割り算の余り Wolfram Alphaを使って数学を勉強しよう




商 剰余 英語




モジュロとは 分かりそう で 分からない でも 分かった 気になれるit用語辞典




21年版 一番簡単なfallout4の日本語化 トリヘッズ




Eceの種族名と種族説明を日本語化 Pink Sky スカイリムmod導入日記




Fifa21 Pc Origin版 で英語実況を実現する方法 非mod 声オタおにじくんの声学審問h



日本の英語教育は間違っていない 文科省が気づかない真の問題




Pon 購入悩み中 元々 メッセージを真面目に読まない人間なので 英語でもあまり問題ないのですけど やっぱり日本語化がほしいww



Mod関数で割り算の余り 剰余 を求めてみた Excel 関数 Haku1569 Excel でらくらく データ分析




高校数学の整数の性質で合同式の学び直し 第1回は推移律 大学受験対策にも タロウ岩井の数学と英語 Note



Mod S T A L K E R Lost Alpha Developer S Cut V1 4007 英語は英語で洋ゲー堪能する願望




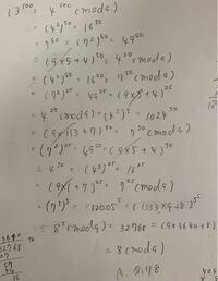
解答の3行目の 4の100乗 4 4 4 Mod9 になるのはなぜですか Clear



割り算の 商 をq 余り をmodと表しますが 何の略ですか Yahoo 知恵袋




剰余演算 Wikipedia




Excel 03 除算の余り部分を求めたい




英語で正しく読み上げる算数 数学の 値 と 計算式 Weblio英会話コラム 英語での言い方 英語表現




Excel 関数 Mod 関数で割り算の 余り を算出する方法 プログラミングで遊ブログ




Mod関数の使い方 同じ数字を繰り返す連番




Fifa21 Pc Origin版 で英語実況を実現する方法 非mod 声オタおにじくんの声学審問h




使える英語 キッチンで働くために知っておくと便利な用語解説 ポジション編 Earthling Life In Canada




ゼロからスタート英語を読むトレーニングbook デイビッド セイン 本 通販 Amazon




Modulo Operation とは 意味 日本人の例文




東京大学 東大 理系 文系 数学 1461 整数の余り Mod 難関大学 数学の発想のしかた さくら教育研究所 Skredu




高校数学 発展 合同式 Modとは何か 整数 Youtube



Mod Hoi3 皇軍 Mod Hoi3datawiki



1




Mod関数の使い方 同じ数字を繰り返す連番



英語音声自動認識 テキスト化サービス Otter をさらにリアルタイムで日本語翻訳する 旅人目線のデジタルレポ 中山智




3行おきのデータを計算するには If Mod Row Sumの解説 エクセル関数リファレンス



数a Modの問題です 問題文は 13 100を9で割った余 Yahoo 知恵袋




英語の語源 初心者が最初に覚えるべきの語根 接頭語 接尾語




改訂版 4step数学a P160 研究 割り算の余りの性質




数の構成 合同式 は割り算と余りの式 大人が学び直す数学




高校数学の整数の性質について合同式の計算で大きな指数の余りを求める タロウ岩井の数学と英語 Note



合同式の証明や問題の解き方を解説 大学受験で使いこなそう Studyplus スタディプラス




数の構成 合同式 は割り算と余りの式 大人が学び直す数学




Warframe 海外産tps ぼっちゲーマーのブログ



中国剰余定理 Crt の解説と それを用いる問題のまとめ Qiita



表計算の剰余 Mod でー10 3 2となるのは何故でしょうか 計 Yahoo 知恵袋




What A Wonderful Game Steamの日本語実績名を英語化しました




合同式の問題の解き方 合同式の性質の証明 高校生向け受験応援メディア 受験のミカタ




Fifa21 Pc Origin版 で英語実況を実現する方法 非mod 声オタおにじくんの声学審問h




不正アクセス Amazonの言語が勝手に英語 中国語に変更になった時に日本語に戻す設定方法 Laboホンテン



数学の質問です A B Modc を英語で言うとき何と言いますか Yahoo 知恵袋




Pc版 ダークソウル3 Mod 導入手順 The Convergence あいplaygames




剰余演算 Wikipedia




Excelで割り算の 余り を求める Mod関数の使い方




6講 合同式 1節 約数と倍数 問題集 3章 整数の性質



割り算の 商 をq 余り をmodと表しますが 何の略ですか Yahoo 知恵袋




ゲームで英語学習 Skyrim が英語学習にとても有効だという件 Joytokeyにはあまり関係のない話




除法 Wikipedia




東京大学 東大 理系 文系 数学 1461 整数の余り Mod 難関大学 数学の発想のしかた さくら教育研究所 Skredu




高校数学の整数の性質で余りの周期性を合同式で学び直し 大学受験対策にも タロウ岩井の数学と英語 Note




海外ゲーの日本語化modに出てくる あまり適切ではない翻訳あるある フリントとは何か 現在位置を確認します



Q Tbn And9gctncszekzw5pv2xpy1ps590taiwxtkloqz3gsc2ysiv9tpuynd7 Usqp Cau




なるりびおん 日本語化への道 其の1




数 剰余の定理 剰余の定理の応用 余りをさらに割っても余りが一致する仕組み Mm参考書
0 件のコメント:
コメントを投稿